Format Comparison

Overview

Format

Lossy

Lossless

Compatibility

Transparency

JPEG XL

High

High

Low

Yes

AVIF

High

-

Medium

Yes

WebP

Medium

Medium

Medium-High

Yes

JPEG

Low

-

High

No

PNG

-

Low

High

Yes

JPEG XL vs AVIF

Brief Description

JPEG XL and AVIF are both modern image formats offering high compression ratios. They outperform HEIC, WebP, and JPEG by a wide margin.

Introduction

Before evaluating lossy efficiency, it’s important to understand the difference between photographic and synthetic datasets.

  • Synthetic (non-photographic): images created entirely on a computer without using a camera.

  • Photographic: images captured using a camera.

  • Mixed: datasets featuring both synthetic and photographic images. Hybrid images featuring both photographic and synthetic elements qualify as well.

CID22

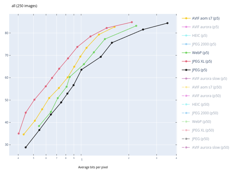
Provided by Cloudinary (JPEG XL developers). CID22 is a mixed dataset, featuring both photographic, and synthetic images. Source

JPEG XL performs well on this mixed dataset.

_images/cid22_all.png

CID22 - lossy performance on the entire dataset.

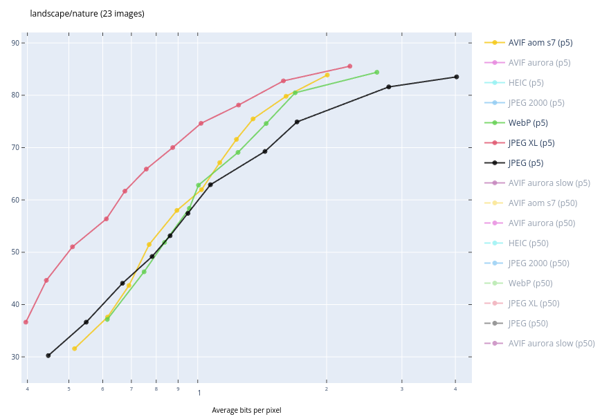
JPEG XL performs best when tested on photographic data.

_images/cid22_landscape_nature.png

CID22 - lossy performance on landscape and nature.

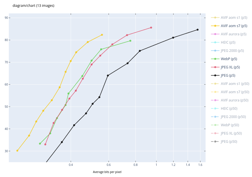
When isolated to diagrams and charts (synthetic images), AVIF (AOM AV1) outperforms JPEG XL.

_images/cid22_diagram_chart.png

CID22 - lossy performance on diagram and charts.

Try this interactive comparison.

This dataset was covered in more detail in the official JPEG XL presentation by Jon Sneyers here.

Personally Observed Performance

This is a subjective overview. Efficiency on your dataset may vary.

Lossy:

Dataset Type

Most Efficient

Dataset Example

Explanation

Photographic

JPEG XL

Photographs, scans.

JPEG XL excels at compressing photographic material thanks to the VarDCT mode.

Synthetic (non-photographic)

*AVIF (AOM AV1)

Screenshots, diagrams, vector graphics, Anime, digital art.

AOM AV1 has better efficiency on synthetic images than JPEG XL. *Occasionally, JPEG XL can come out ahead, but this isn’t as common, and happens only with very complex or large images.

Mixed

JPEG XL

A mix of photographic and non-photographic images.

JPEG XL is better for unsorted datasets because how much more efficient it is on photographic images.

Lossless:

JPEG XL lossless mode offers the best efficiency overall. WebP may perform better on certain images, but JPEG XL is the best on average. AVIF lossless mode is oftentimes worse than PNG.

Transcoding Speed

Format

Encoder

Speed

JPEG

JPEGLI

10.26X

JPEG

libjpeg

1.09x

JPEG XL

libjxl

1x

AVIF

AOM AV1

0.7x

Parameters used: Speed / Effort: default. Input: PNG.

Capabilities

Feature

JPEG XL

AVIF

Max Resolution

1,073,741,823 x 1,073,741,823

*65,536 x 65,536

Max Bit Depth

32 bit

12 bit

Compatibility

Low

Medium

Lossy Efficiency

Excellent

Excellent

Lossless Efficiency

Excellent

-

* Only 8193 x 4320 natively, larger sizes are achieved with tiling (which lowers efficiency and introduces artifacts).

JPEG XL has extra features, such as:

  • Lossless JPEG Transcoding

  • (Better) Progressive Decoding

  • Generation Loss Resilience

  • Photon Noise

  • and more…